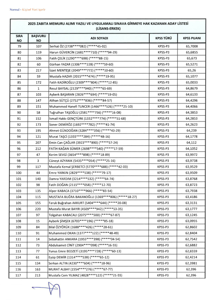
Bursa Büyükşehir Belediyesi, zabıta memuru alımı için yapılacak sınava girmeye hak kazanan adayların listesini yayımladı.
Bursa Büyükşehir Belediyesi, zabıta teşkilatını güçlendiriyor.
Geçtiğimiz ay 15’i önlisans, 35’i lisans mezunu 50 zabıta alınacağı duyurulmuştu.
Büyükşehir Belediyesi, başvuruların ardından sınava girmeye hak kazanan adayların listelerini yayımladı.

Belediyeden yapılan açıklamada şu ifadeler kullanıldı:
Belediyemiz bünyesinde 657 sayılı Devlet Memurları Kanununa tabi 15 Adet Önlisans 35 adet Lisans mezunu Zabıta Memuru alınabilmesi için 19.07.2025 tarihinde yazılı sınav, 23.07.2025 – 25.07.2025 tarihleri arasında uygulamalı sınav yapılacaktır. Yazılı ve uygulamalı sınava girmeye hak kazanan adaylar sınava giriş belgelerini Belediyemiz resmi internet sitesinden temin edip sınav günü tarafımıza ibraz edeceklerdir.
Yazılı Sınav
Bursa Uludağ Üniversitesi Sağlık Bilimleri Fakültesi Görükle Kampüsü adresinde yapılacaktır.
Sınav salon ve sıra numaranız sınava giriş belgesinde mevcuttur.
Sınav giriş belgesini kullanıcı adı ve şifrenizi girerek temin edebilirsiniz.
Sınav Giriş Belgesini Sınav günü (19.07.2025 Cumartesi) yanınızda getirmeniz gerekmektedir.
Yazılı sınav için Kurşun Kalem, Silgi ve Kalemtraş getiriniz.
Ulaşım bilgisi için tıklayınız https://www.burulas.com.tr/otobus/Sınav Giriş Belgesi ve Kimlik belgesi olmayan sınava alınmayacaktır.
Sınav giriş belgesi için tıklayın.
Uygulamalı Sınav
23.07.2025-25.07.2025 tarihleri arasında Vakıf Bera Kent Parkı ve Spor Tesislerinde yapılacaktır.
(Şirinevler Mah. E106. Sok. No:2 Yıldırım/BURSA)Ulaşım bilgisi için tıklayınız.
https://www.burulas.com.tr/otobus/
Parkur Bilgisi için aşağıdaki linke tıklayabilirsiniz.
Zabıta Memuru Alımı Parkur Rehber Videosu
SPRORTİF DAYANIKLILIK PARKUR GÖRSELİ
İşte sınava girmeye hak kazanan isimerl…
Lisans (Erkek)




Lisans (Kadın)

Önlisans (Erkek)







